Как правильно пользоваться микроволновкой, как включить
Как пользоваться микроволновкой, чтобы не навредить устройству и своему здоровью? Далеко не все пользователи знают правила эксплуатации и безопасности СВЧ-печи. Большинство купивших «умную» бытовую технику предпочитают осваивать ее на интуитивном уровне. А зря: ознакомившись с инструкцией, вы можете предотвратить множество поломок.
Что такое микроволны
Многие владельцы СВЧ-печек не в курсе их принципа действия и не знают, каким образом в них подогревается и размораживается еда. Впрочем, из самого названия понятно, что основное «действующее лицо» — микроволны.
Это электромагнитное излучение сверхвысокой частоты — 2,4 ГГц. Из физики многие помнят: когда вещество нагревают, его молекулы ускоряются — сначала те, что ближе к теплу, а затем они делятся энергией с другими, дальними молекулами.
Если положить замороженный продукт на сковородку, снаружи он будет теплый, а внутри ледяной. В СВЧ-печах все наоборот. Здесь действуют волны, проникающие внутрь. Доставая из своей «умной» печки Samsung или LG подогретый пирог, вы убедитесь: внутри он горячий, на поверхности теплый.
Микроволна — короткая электромагнитная радиоволна, частота которой практически совпадает с частотой излучения мобильных телефонов. Именно поэтому вблизи СВЧ-печей плохо работает мобильная связь.
Купили СВЧ-печь — что делать
Если вы только знакомитесь с устройством микроволновки, вам нужна инструкция, которая обязательно идет в комплектации. А как иначе узнать о предназначении кнопок и о функциях приобретенной техники? Разве что опытным путем — но на это уйдет масса времени, и можно ненароком что-нибудь повредить.
Первое, что волнует людей, купивших микроволновую печь, — как включить ее? При первом использовании действуйте так:
- Поставьте прибор на стол, полку или на другое ровное место.
- Включайте аппарат, всунув вилку в электророзетку.
- Теперь запустите прибор. В разных моделях включение может осуществляться по-разному:
— кнопкой «Старт» или «Cook»;
— поворотом таймера — после установки времени печка включается.
Если печь исправна, после включения она заработает.
Зачем нужен таймер
Таймер в некоторых моделях играет роль включателя, но главное его предназначение — регулирование времени приготовления. С его помощью можно установить, сколько будет готовиться блюдо.
Таймеры бывают разные. Время может выставляться поворотом циферблата, пока не засветится набираемое пользователем значение. Также его можно задать набором цифр, используя клавиатуру. Чтобы выбрать оптимальное время, посмотрите информацию на упаковке или в рецепте.
Основные ошибки пользователей
Самая главная ошибка — игнорирование инструкции. Не вникнув в суть работы устройства, легко спровоцировать его поломку.
Важно понять: микроволны действуют только на молекулы Н2О. Поэтому готовить в СВЧ-печи можно лишь продукты, содержащие воду. При разогреве продуктов с малым ее содержанием рядом нужно ставить емкость с жидкостью.
Если не вращается подставка, блюдо равномерно не разогреется — с одного боку сгорит, с другого будет сырым. Это не относится только к инверторным моделям, в них вращающегося поддона нет.
Важно помнить: прервать заданный процесс готовки нельзя, специи добавляйте до старта или уже после завершения.
Как продлить жизнь микроволновки
Пользуясь микроволновой печью по правилам, можно заметно продлить ее жизнь. Хорошая печка способна служить без неисправностей целую пятилетку и даже больше. Если печь исправна:
- она работает тихо;
- нет искрения в камере;
- нет запахов;
- плотно закрывается дверца.
Важно! Помните, поломки печи опасны и для ее владельца. При наличии неисправностей немедленно отвезите СВЧ в сервисный центр.
Длительность эксплуатации зависит от соблюдения правил пользования: используйте специальную посуду и готовьте, учитывая рекомендации разработчиков.
Чтобы первое пользование не принесло разочарований, важно выполнять советы производителей. Запрещается:
- включать прибор при пустой камере;
- включать прибор, если вес еды меньше 50 г;
- использовать посуду из металла;
- превышать разумное время готовки — появляется риск возгорания;
- с усилием протирать защитный экран — пластину из слюды (она расположена в камере, обычно на боковой стене);
- включать при наличии очевидных дефектов: треснутое стекло, неплотно закрытая дверца и т.д.;
- греть или варить яйца;
- загружать в камеру плотно укупоренные контейнеры и банки с продуктами.
Полезные советы
- Прежде чем запустить гриль, поставьте внутрь чашку воды.
- Плотно закрывайте дверцу.
- Собираясь разогреть продукты в шкурке или вакуумной упаковке, перед включением печки проткните их острым предметом в нескольких местах.
- Чтобы камера была чистой, а вам не пришлось отмывать ее всякий раз после готовки, закрывайте блюдо специальной крышкой. Из-за брызг жира и остатков пищи может раньше времени прийти в негодность слюдяной защитный экран.
- Не оставляйте прибор без присмотра.
- Не беритесь за посуду непосредственно после отключения прибора — получите паровой ожог.
- Отмывайте печь от остатков пищи мягкими губками.
Среднестатистический срок работы СВЧ-печек — пять лет. Исполняя рекомендации производителей, можно увеличить его вдвое.
Как выбрать посуду
Специфика микроволновок — запрет на использование металлической посуды. Также нельзя ставить в камеру емкости, легко плавящиеся или сильно нагревающиеся. Лучше использовать спецпосуду, на которой написано:
- for microware oven;
- microware oven safe;
- suitable for microware;
- судки для микроволновок.
Все перечисленные надписи обозначают: эту посуду можно ставить в СВЧ-печки.
Неспециальную посуду, прежде чем поставить в печку, лучше проверить. Поставьте внутрь стакан воды, рядом — посуду, которую хотите протестировать. Включите аппарат — нужно увеличить мощность до максимума. Если по истечении минуты объект не нагреется, можете использовать его для готовки.
Внимание! Лучше покупайте круглую посуду: в углах скапливается много тепла, и тарелка может немного обгореть.
Куда поставить микроволновку
Месторасположение СВЧ-печи определяет ее возможности. К примеру, если водрузить печь на холодильник, ее можно будет использовать исключительно для разогрева.
При установке нового устройства следует учитывать такие нюансы:
- Нельзя заслонять вентиляцию.
- Запрещается ставить вблизи техники, излучающей радиоволны — могут появиться сбои в работе.
- В любой инструкции также сказано, что ее нельзя располагать вблизи источника тепла.
- Поставить печку на другую бытовую технику можно, но нужно предварительно убедиться, что вибрации от микроволновки не вредят ей.
Читайте обзор «Можно ли поставить микроволновку на холодильник».
- Поверхность для установки прибора должна быть как можно ровнее и тверже.
При переносе СВЧ-печки учтите: передняя часть тяжелей, чем задняя. Нужно правильно взять ее в руки, чтобы не выронить и не разбить.
На что влияет мощность
Правильное пользование невозможно без знаний, связанных с мощностью прибора. От ее величины зависит скорость выполнения операций и возможности устройства.
- 1,4 кВт — хватит для размягчения масла или мороженого, поднятия дрожжевого теста.
- 1,4-2,8 кВт — можно разморозить и растопить продукты.
- 2,8-4,2 кВт — хватает для выпечки.
- Для хорошего разогрева потребуется мощность не менее 4,4-5,6 кВт.
На максимальной мощности можно вскипятить воду или приготовить еду, потратив минимум времени.
Прежде чем задавать программу действий, ознакомьтесь с особенностями приготовления продукта. Возможно, его нужно предварительно разморозить и только потом готовить.
Правила ухода
СВЧ-печи экономят время своих владельцев, но требуют регулярного внимания. Чистота камеры — важное условие корректного функционирования техники. Своевременный уход предотвратит появление запахов и жировых загрязнений на стенках камеры и на слюдяном экране.
Придерживайтесь таких правил:
- Перед уборкой обязательно отключите прибор от сети.
- Чтобы качественно промыть камеру, достаньте съемные детали.
- Внутренние детали нужно промыть теплым мыльным раствором. Подождать высыхания.
- Воду лучше не использовать, чтобы не попала внутрь устройства, пользоваться нужно влажной губкой.
- Запрещено чистить печку металлическими щетками — можно повредить покрытие.
- Запрещается применять щелочные и хлорсодержащие средства.
При обнаружении загрязнений, которые нельзя отмыть или достать тряпкой, включите пылесос. Используйте тонкую насадку. Таким способом можно также чистить вентиляционные отверстия.
Если вы купили Samsung
Согласно статистике, 20% семей пользуется микроволновками корейского бренда. Для всех СВЧ-печек правила ухода и эксплуатации практически одинаковы.
Печки «Самсунг» могут отличаться друг от друга панелью управления. В цифровых моделях управление происходит с помощью кнопок, в аналоговых — посредством ручного управления. Второй вариант проще и дешевле, и, кроме того, исключает системные ошибки. В сенсорных моделях включено много дополнительных функций, например, самоочистка.
При установке печек «Самсунг» следует помнить: нужно выдерживать не менее 20 см расстояния до любых других предметов.
Осторожно с блокировкой!
Те, кто поленился прочитать инструкцию, часто сталкиваются с проблемой блокировки. Большинство современных моделей оснащены полезной функцией — защита от детей. Однако, случается, что она становится препятствием и для владельцев, которые не могут разблокировать микроволновку.
Процедура разблокировки описана в каждой инструкции. Так, например, чтобы снять блок в Samsung CE1110R, нужно одновременно нажать кнопки «СВЧ», «Гриль» и «Конвекция».
Как правильно готовить
Важно, чтобы продукты равномерно прогревались, особенно это касается мяса, рыбы, птицы. Ведь если в них останутся бактерии, можно нанести вред здоровью. Рекомендуется резать их на кусочки.
Полезно также знать:
- Твердые продукты разогревать приходится дольше, чем пористые и мягкие.
- Разогревая питание для детей, перемешивайте его после извлечения из камеры для равномерного прогрева кусочков смеси.
- Фрукты и овощи, имеющие плотную кожуру, перед готовкой проткните.
Тщательно изучив инструкцию по эксплуатации к своей микроволновке, вы сможете избежать многих проблем и продлить ее срок службы. Это особенно важно для модификаций нового поколения, оснащенных массой функций и режимов.
Немного усердия и внимания, и ваша СВЧ-печка будет безупречно служить вам долгие годы, а еда будет вкусной, качественной и безопасной.
Цифровая микроволновка из механической / Geektimes. Многие из нас имеют дачи: кто- то растит картошку, кто- то делает ремонт, а кто- то — и то и другое.
Но, бесспорно, все стаскивают туда всякий хлам (а вдруг пригодится!). В состав этого разношерстого хлама входит все: от разных тряпок до термоядерных реакторов поломанной бытовой техники.
Историю о том, как с помощью Arduino Nano и кучи свободного времени была восстановлена микроволновая печь, можно найти под катом (много фото). Была поздняя осень и на даче особо делать было нечего — готовились к зимовке. И после переноса разного хлама я наткнулся на микроволновку, которую вывезли туда пару лет назад.
Отремонтировать ее было вполне актуально, так как разогревать пищу во время ремонта на плите не очень удобно — гораздо проще вот такой малюткой прокрутить пару раз тарелку и в бой! Для выяснения поломки пришлось провести опрос родителей на тему того, как и при каких обстоятельствах микроволновка сломалась и почему ее вывезли на дачу. Оказалось, что сломался регулятор с таймером. Разборка показала правдивость такого вывода: в результате постоянных размыканий/замыканий контакт подгорел и начал нагреваться, в итоге сплавил кучу шестеренок, приведя устройство в нерабочее состояние. Вопрос был только один: почему регулятор не был заменен? Гугление показало, что найти подобный элемент к конкретной модели очень тяжело. Потому на тот момент было принято решение просто временно вывезти ее на дачу.
Описание товара 4665271750410 — КАРТОФЕЛЬ «ЭКСПРЕССО» (EXPRESSO) ДЛЯ. Конфеты шоколадные «Кошечки» ТМ «Maitre Truffout» (Мэтр Трюффо), 100. При приготовлении в СВЧ пар вытесняет воздух из пакета через микроперфорацию. Очень подробная инструкция под спойлером! Составная емкость «Новая волна» для разогрева в СВЧ (500 мл х 2) 850 рублей.
Бутылочка 150 мл в подарок при покупке продукции ТМ Tommee Tippee. Пустышка прозрачная Closer to Nature 0-3 мес., ершик для мытья бутылочек, пинцет, инструкция. Все чистенько без разводов, 100 процентная гарантия стерильности. Термометр OMRON Flex Temp Smart.
Многие из нас имеют дачи: кто-то растит картошку, кто-то делает ремонт, а кто-то — и то и другое. Но, бесспорно, все стаскивают туда . Бытовая СВЧ печь – удобное и полезное устройство, но вместе с тем. Что и указывается и инструкции к ней. В странах с экономной по расходу металла системой электроснабжения с глухозаземленной нейтралью TN-C, в т.ч. Что будет от жира в камере печи при температуре 100 и более градусов . Цены на Цернилтон, подробная инструкция по применению, противопоказания. Цернилтон таблетки, 100 шт. Хранить в сухом, защищенном от света месте, недоступных для детей, при температуре не выше 25 Принадлежности 4. Панель управления 5. Использование этой инструкции 6. Меры предосторожности 7. Установка вашей микроволновой печи. Инструкция к СВЧ (микроволновой) печи. В начале инструкции вы найдете иллюстрации микроволновой печи и, что. Задайте вес продуктов нажатием кнопки 100 г нужное количество раз (500 . Инструкция по эксплуатации программного обеспечения. 4.2.5 Параметры комбинированного радиоизвещателя «Сокол-Р» (СВЧ+ИК). В процессе установки можно установить драйверы USB для Echelon U.10, iLON 10/100/600. Proximity/TM – код управления вводится при поднесении карты доступа .
Но мы не ищем легких путей: я не стал искать новый регулятор, а решил запилить свой. С блекджеком и плюшками. Изучение статей тут и тут по поводу устройства микроволновых печей показало, что механические микроволновки устроены до безобразия просто: Требования к тому, что должен делать таймер- регулятор (обведен пунктиром на рисунке в центре) весьма просты: Регулировать мощность магнетрона; Засекать время и отключать печь по истечении времени таймера; Издать звук о завершении готовки. К примеру, в моей модели микроволновой печи отсутствует низковольтная часть: там везде 2.
В, так что идея использовать просто выпрямитель как источник питания платы отпала. Разберем каждый пункт по отдельности: Регулятор мощности.
Регулировать мощность магнетрона невозможно в связи с особенностями его устройства, но каким- то магическим образом мощность в микроволновой печи регулируется. Этих способов два: регулировка времени работы магнетрона, то есть включение и отключение его на некоторое время. Этот способ используется во всех недорогих микроволновых печах с механическим управлением; инверторный, однако мы рассматривать его не будем, так как это относится к дорогим устройствам и в объеме статьи это особо не нужно. Только в электронной версии проще использовать динамик. Наконец, выяснив все, что необходимо делать с помощью таймера- регулятора, пришел черед разработки. Перебрав несколько вариантов, остановился на использовании Arduino Nano как устройства управления. Многие могут возразить и показать в сторону микроконтроллеров, но я по жизни ленивый и у меня нет ни времени, ни желания заниматься травлей и отмыванием плат, паянием программаторов и т.
В качестве исполнительного механизма был использован стандартный двухканальный модуль реле для Arduino. Разработка. Хочу заметить сразу: это было мое первое знакомство с микроконтроллерами и языком программирования семейства «С». Я и раньше писал код, но это был университет, и немного на работе для личных целей (VBA). Также неоднократно читал статьи по микроконтроллерам и приблизительно представлял, что это такое.
Но впервые — «руками», так сказать — попробовал здесь. Самое первое, что я хотел, — это нулевое потребление энергии во время простоя, ведь печь будет стоять на даче, а дергать каждый раз с розетки желания не было. Потому всякие ждущие режимы и т. И пришел к такой схеме: Как видно, здесь имеется реле, которое включается и отключается платой Ардуино, а также кнопка в обход контактной группы. Работает это все просто: при нажатии на кнопку цепь замыкается и начинает питать плату, плата начинает выполнять программу, которая «подхватывает» с помощью реле питание, и ток идет через контактную группу до тех пор, пока реле не отключится программно.
Для регулировки мощности было задумано использовать метод отключения магнетрона от питания с помощью реле. Длительность будет задавать программа в зависимости от выбранного режима. Далее я подумал о датчиках, с которых будут сниматься данные о задержке таймера, и величине мощности. Всякие кодовые диски с оптопарами я отмел, так как это все для меня сложновато, да и по большому счету — ненужно. Изучив доступную в сети информацию по ардуино, было принято решение использовать аналоговые входы, а в качестве датчиков — обычные переменные резисторы на 1.
Ом. Как в итоге оказалось, они идеально встали после небольшой переделки корпуса от старого таймера. Итоговая схема устройства приблизительно такая: Реализация. Начал я с поиска платы: купил клон Arduino Nano через интернет, потом заказал модуль реле, остальные компоненты были вытащены из ящика с хламом, который стоит под столом. Решил не сильно портить внутренности микроволновки, так как после осмотра понял, что места в передней панели предостаточно, чтобы разместить все необходимое (блок питания на 1.
В все же не влез). Также решил оставить контакты и разъёмы, чтоб было проще демонтировать в итоге. Чтобы закрепить переменные резисторы, с которых снимаются данные, после размышлений решил использовать корпус от сгоревшего регулятора, предварительно вытряхнув содержимое и оставив только самое нужное: контакты, вал ручки таймера и шестерню ручки управления мощности.
Надежно отогнув контакты внутри корпуса, так чтоб они не касались друг друга и металлических частей переменных резисторов, с помощью дремеля просверлил два отверстия напротив ручки таймера и шестерни мощности. В эти отверстия установил резисторы, получилось довольно сносно: Далее занялся ручкой: рассверлил вал так, чтоб он туго надевался на ручку переменного резистора, ту же процедуру проделал с шестерней мощности. Все в итоге собралось на удивление хорошо и надежно с первого раза. Далее уствновил кнопку запуска — купил подходящую за 9 грн белого цвета.
Получив на руки плату, сначала зашел в тупик: как ее закрепить? Отверстия по периметру очень маленькие. Хотелось, чтобы она держалась надежно и при этом ее можно было легко снять. Идею тупо приклеить я откинул, так как мало ли — сожгу ее, а потом отламывай.
Также был установлен блок реле, который, кстати, пришлось приклеить, так как по- другому закрепить в корпусе его было нереально. После кропотливой разводки и пропайки проводов получилась следующая конструкция: Так как микроволновка на момент написания статьи находится на даче, показать готовый блок с реле нет возможности. Место установки показано условно.
Далее были добавлены цепи питания и блок питания на 1. В, который запитывал плату ардуино, а также через гасящий резистор — блок реле. Их пришлось развести по питанию в связи с тем, что по непонятным причинам плата перезагружалась при попытке подтянуть оба реле одновременно. В итоге я завел питание, отдельно сняв джампер на блоке реле, который запитывал его непосредственно от ардуино.
После теста всей конструкции в сборе выяснилось, что плата блока питания никаким образом не помещается в панель. Отчаявшись и психанув, я ее замотал волшебной синей изолентой и положил на дно микроволновки. Закрепил дополнительно скотчем, чтобы при переноске не болтался. Блок питания был взят от старого свича 1.
Инструкция (manual) к СВЧ (микроволновой) печи SAMSUNG GE8. GR, GE8. 9MR, GE8. MSTR : Сервисный центр RT Уважаемые посетители. Во избежание нагромождения материалов и для удобства навигации по инструкциям к бытовой технике мы адаптировали инструкции для смежных моделей микроволновых печей. Для отличий технических характеристик мы сделали пометки для отдельных моделей. Если же Вы не увидели специальную пометку в отличиях отдельно для модели Вашей микроволновой печи — это означает, что инструкция полностью соответствует интересующей Вас модели микроволновой печи.
Краткое руководство по эксплуатации печи. Принадлежности. 4. Панель управления.
Использование этой инструкции. Меры предосторожности. Установка вашей микроволновой печи.
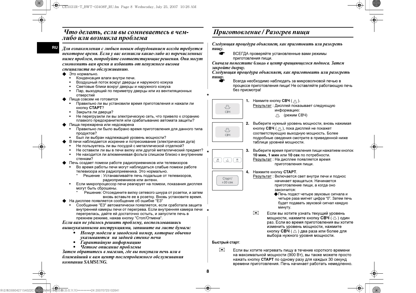
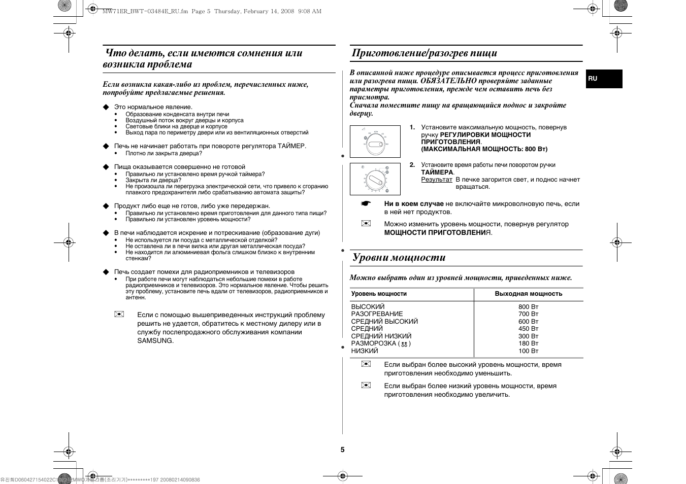
Установка времени. Что делать, если вы сомневаетесь в чем- либо или возникла проблема. Приготовление / разогрев пищи. Уровни мощности. 12. Остановка приготовления пищи. Корректировка времени приготовления.
Использование функции Очистки паром (только модель GE8. MR, GE8. 9MSTR)1.
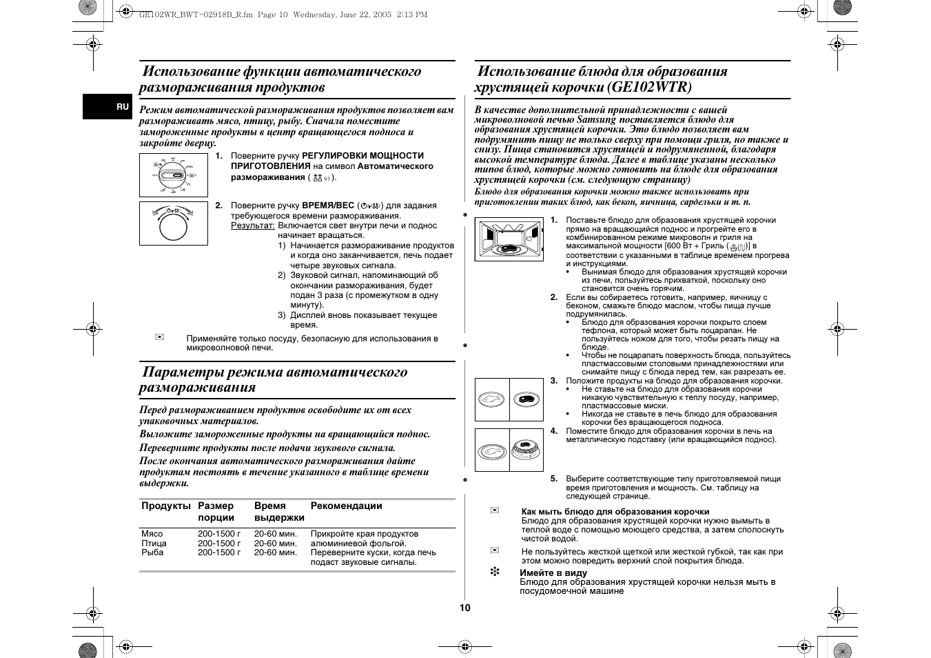
Использование режима Авто разогрев/ приготовление. Параметры режима Авто разогрев/ приготовление. Использование режима автоматической быстрой разморозки. Параметры режима автоматической быстрой разморозки. Использование функции автоматического приготовления пищи с корочкой.
Использование функции ручного приготовления пищи с корочкой 2. Выбор положения нагревательного элемента. Выбор принадлежностей для приготовления пищи.
Приготовление в режиме гриля. Комбинирование микроволн и гриля. Отключение звукового сигнала. Блокировка вашей микроволновой печи для безопасности. Руководство по выбору посуды. Руководство по приготовлению пищи. Чистка вашей микроволновой печи.
Хранение и ремонт вашей микроволновой печи. Технические характеристики.
Краткое руководство по эксплуатации печи. Если вы хотите приготовить какое- либо блюдо. Поместите продукты в печь. Выберите уровень мощности, нажав кнопку СВЧ () один или несколько раз. Установите нужное время приготовления нажатием кнопок(МЕНЬШЕ) и (БОЛЬШЕ). Нажмите кнопку СТАРТ () .
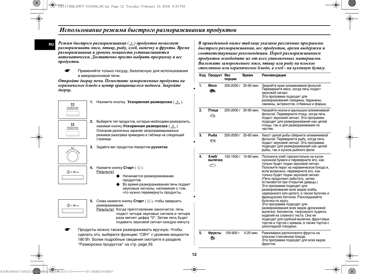
Поместите замороженные продукты в печь. Выберите тип продуктов, которые вы собираетесьразморозить, нажав кнопку Ускоренная разморозка () один или несколько раз.
Задайте вес продуктов нажатием кнопок (МЕНЬШЕ) и (БОЛЬШЕ). Нажмите кнопку СТАРТ (). Нажмите кнопку Гриль ().
Задайте требующееся время приготовления нажатием кнопок (МЕНЬШЕ) и (БОЛЬШЕ). Нажмите кнопку СТАРТ(). Печь. SAMSUNG GE8. GRSAMSUNG GE8. 9MR, GE8. MSTRПринадлежности.
В зависимости от модели приобретенной вами печи, в ее комплект входят несколько принадлежностей, которые могут использоваться разнообразными способами. Муфта, уже закрепленная на валу электродвигателя е основании печи. Назначение: Муфта вращает поднос. Роликовая подставка, предназначенная для установки в центр внутренней камеры печи. Вращающийся поднос, предназначенный для установки на роликовую подставку,при этом его центр совмещается с муфтой. Металлическая подставка, устанавливаемая на вращающийся поднос.
Назначение: Металлическую подставку можно использовать в режиме гриля и в комбинированном режиме приготовления пищи. Блюдо для образования хрустящей корочки. Назначение: Это блюдо используется, чтобы лучше подрумянивать пищу врежимах микроволнового приготовления или комбинированного приготовления сиспользованием гриля. Оно помогает сделать хрустящим тесто при приготовлениивыпечки и пиццы.
Контейнер для воды (только модель GE8. MR, GE8. 9MSTR) Назначение : Контейнер используется при чистке печи. В инструкции для пользователя содержится много ценной информации о приготовлении пищи в вашей микроволновой печи. Ни при каких обстоятельствах нельзя пытаться пользоваться печью при открытой дверце, портить блокировочные контакты (защелки дверцы) или вставлять что- либо в отверстия блокировочных контактов. Не вставляйте никаких предметов между дверцей печи и передней панелью и не позволяйте остаткам пищи или осадкам чистящих средств накапливаться на уплотняющих поверхностях, эоддерживайте дверцу и ее уплотняющие поверхности в чистом состоянии, протирая их после использования печи сначала влажной тряпкой, а затем мягкой сухой тряпкой.
Не используйте неисправную печь, пока ее не отремонтирует квалифицированный специалист по микроволновым изделиям, подготовленный фирмой- изготовителем. Обращаем ваше особое внимание на то, чтобы дверца печи надежно закрывалась и чтобы не были повреждены: 1). Дверца, уплотнители дверцы и уплотняющие поверхности 2). Петли дверцы (сломаны или ослаблены) 3). Сетевой шнурd). Печь не должен настраивать или ремонтировать никто, кроме квалифицированного специалиста по микроволновому оборудованию, подготовленного изготовителем печи.
Меры предосторожности. Важные инструкции по безопасности.
Внимательно прочтите и сохраните для использования в дальнейшем. Прежде чем начать готовить продукты или нагревать жидкости в вашей микроволновой печи, убедитесь в том, что выполнены следующие меры предосторожности. НЕ ИСПОЛЬЗУЙТЕ никакой металлической посуды в микроволновой печи. НЕ ВКЛЮЧАЙТЕ микроволновую печь, когда она пуста. Причина: Могут быть повреждены стенки печи.
Совет: Постоянно держите в печи стакан с водой. Вода поглотит микроволны, если вы случайно включите печь,когда она пуста. НЕ закрывайте задние вентиляционные отверстия тканью или бумагой. Причина: Ткань или бумага могут загореться от соприкосновения с горячим воздухом, выходящим из печи. ВСЕГДА используйте толстые рукавицы, когда вынимаете посуду из печи. Причина: Некоторая посуда поглощает микроволны и тепло всегда передается от пищи кпосуде.
Следовательно,посуда может быть горячей. НЕ прикасайтесь к нагревательным элементам или внутренним стенкам печи. Причина: Стенки могут быть достаточно горячи для того, чтобы вызвать ожог даже после окончанияпроцесса приготовления пищи, хотя по их внешнему виду это может быть незаметно.
Непозволяйте воспламеняющимся материалам контактировать с какими- либо внутреннимиповерхностями печи. Сначала дайте печи охладиться. Для уменьшения вероятности возгорания в камере печи: . Будьте особенно осторожны, когда разогреваете жидкости и детское питание. Если сосуд слишком горячий, вы можетеобжечься.
В результате вы можете получить ожог. Бутылки с узким горлышком также могутвзорваться при перегреве. Будьте осторожны, чтобы не повредить сетевой шнур. Стойте на расстоянии вытянутой руки от печи, когда открываете дверцу. Причина: Выходящий горячий воздух или пар могут вызвать ожог.
Поддерживайте внутреннюю камеру печи в чистоте. Причина: Частицы пищи или разбрызгавшиеся капли жира, приставшие к стенкам или основанию печи, могутпривести к повреждению покрытия и снизить эффективность работы печи. Во время работы микроволновой печи (особенно в режиме размораживания) могут быть слышны звуки типа. Этонормальное явление.
Когда микроволновая печь работает без какой- либо нагрузки, то в целях обеспечения безопасности будетавтоматически отключено ее электропитание. Через 3. 0 минут после этого вы вновь сможете нормальнопользоваться печью. ВАЖНЫЕ ИНСТРУКЦИИ ПО БЕЗОПАСНОСТИЕсли пища разогревается или готовится в одноразовой посуде из пластика, бумаги или других воспламеняющихся материалов, то во время приготовления вы должны время от времени заглядывать в печь. ВАЖНОНИКОГДА не разрешайте маленьким детям пользоваться микроволновой печью или играть с ней.
Не оставляйте их без присмотра рядом с микроволновой печью во время ее использования. Не храните и не прячьте предметы, вызывающие интерес у детей, непосредственно над печью. Врубель Царевна-Лебедь Описание.
Перейти к контенту
Постоянно обновляемый большой каталог документации по эксплуатации и использованию современных устройств и оборудования на русском языке. Бесплатное скачивание файлов.
Микроволновые печи
В этой рубрике Вы найдете инструкции по эксплуатации и установке микроволновых печей разных производителей. Для Вашего удобства все устройства распределены по брендам. Каждый мануал от любого производителя доступен для просмотра в браузере или для бесплатного скачивания.
Инструкции по производителям
13 июля 2023 /
0 комментариев
/
25 просмотров
Владельцы микроволновок иногда сталкиваются с проблемой, когда при закрывании двери устройство начинает работать самостоятельно. Это может быть раздражающим и даже опасным явлением, которое требует немедленного вмешательства. В данной статье мы рассмотрим, почему такое может происходить и какие меры можно предпринять для устранения этой неисправности.
1
2
3
Инструкция по разогреву еды в микроволновке
4
Режим в духовке для корочки
5
Ce1350r панель управления
6
Микроволновая печь ge87kpr Samsung предохранителей схема
7
Mw87wr Samsung инструкция
8
Весовые измерения руководство
9
Микроволновая печь Samsung g643cr инструкция
10
Микроволновая печь Samsung ce283gnr
11
12
Микроволновая печь Samsung c105afr инструкция
13
СВЧ печь Whirlpool Max 45 инструкция
14
15
Принципиальная схема микроволновки Panasonic nn-0335mf
16
Микроволновая печь Supra 20л с сенсорным управлением
17
18
Ce287dnr Samsung схема
19
Микроволновая печь Samsung m187jnr
20
Микроволновая печь Samsung ce103vr-s
21
Микроволновая печь Samsung gr87rs
22
Ce2974nr Samsung
23
Микроволновая печь Samsung ce1175er-s
24
Микроволновая печь Samsung g2739nr схема электрическая
25
26
Возможные причины
Существует несколько причин, по которым микроволновка может начать работать при закрытой двери. Одной из них может быть неисправность в механизме запирания двери. Если контакты не закрываются полностью или замок не работает должным образом, микроволновка может включаться даже при закрытой двери.
Еще одной возможной причиной может быть неисправность в сенсорной системе двери. Если датчик не распознает, что дверь закрыта, микроволновка может считать, что ее можно включать. Это может произойти из-за повреждения датчика или неправильной установки.
27
Клавиша открытия самсунг микроволновки ge73br
28
Печь микроволновая Samsung mw71er нд производителя
29
Микроволновая печь обозначения режимов
30
Отключение автоматического запирания дверей
31
Bork MW iimw4320bk
32
Отключение звукового сигнала на микроволновке самсунг
33
Микроволновая печь Samsung ce1000r
34
35
36
Микроволновая печь Samsung pg113r
37
Микроволновая печь Samsung ce287dnr инструкция
38
Микроволновая печь BQ MWO-20030ws White
39
Дверь закрыта звоните
40
Микроволновая печь Samsung ce1350r
41
Микроволновая печь Дэу KQG-e71b схема
42
Микроволновая печь Whirlpool Max 45 FW
43
Whirlpool gt 287
44
45
3056217 Nr инструкция
46
Магазин закрыт
47
Vitek VT 1668
48
Samsung m187dnr схема
49
50
Регулятор настройки времени микроволновой печи
51
Микроволновая печь Hyundai h-mw2417
52
Микроволновая печь самсунг ge1072r
Как решить проблему
Если ваша микроволновка начинает работать при закрытой двери, рекомендуется сначала проверить механизм запирания. Убедитесь, что контакты закрываются полностью и замок функционирует должным образом. Если вы обнаружили какие-либо повреждения или неисправности, лучше обратиться к профессионалам для ремонта или замены деталей.
Если проблема не связана с механизмом запирания, следующим шагом может быть проверка сенсорной системы. Проверьте, находится ли датчик в правильном положении и не поврежден ли он. Если вы обнаружили проблемы, которые вы можете решить самостоятельно, сделайте это. В противном случае обратитесь к специалистам.
Важно помнить, что работа с микроволновкой может быть опасной, поэтому если у вас нет опыта в ремонте бытовой техники, лучше доверить эту работу профессионалам. Неправильное обращение с устройством может привести к серьезным повреждениям или даже пожару.
Надеемся, что данная статья помогла вам разобраться с проблемой, когда микроволновка начинает работать при закрывании двери. Помните, что безопасность всегда должна быть на первом месте, и в случае сомнений лучше обратиться к профессионалам.



































































